于高中物理所學范疇內,自由落體運動身為一重要知識點,且是高考常考之內容。今日,我們將要深入去探討自由落體運動的3個關鍵公式,借此讓你于考場上能夠迅速地秒解落地速度相關的問題。
首先來看一道屬于全國一卷的真題,存在一個物體,它是從有著高度為h的樓頂展開自由落體運動的,已知這個物體落地時的速度是v,如今要去求出該物體的下落時間初中物理公式 填空,這道題看著好像相對簡單,然而要是沒有嫻熟掌握正確的應對方法,是極其容易陷入錯誤的區域的。



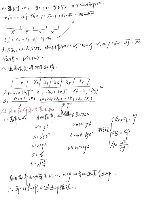
接下來,介紹“自由落體 3 個公式”。
首條公式為速度與時間的關系公式,即v = gt 。此公式對自由落體運動里物體的速度v以及下落時間t間的關系予以描述。其中g是重力加速度,一般取值約是9.8m/s2 。這意味著,物體處于自由落體運動狀態時,其速度會隨時間的增長而均勻變大,變大的比例正是重力加速度g。

第二個公式,乃是高度時間關系公式,即 h = ?gt2 ,它所反映的,是物體下落的高度 h 跟下落時間 t 之間的一種聯系,借助這個公式,我們能夠明白,物體下落的高度與下落時間的平方呈現出成正比的關系,這也就意味著,下落的時間倘若越長,那么物體下落的高度便會越大 。
第三公式即為速度高度關聯公式 : v2 = 2gh ,該公式搭建起物體落地速度 v 與下落高度 h 間的聯系 ,其顯示 ,物體落地速度的平方同下落高度成正相關 ,存有此公式 ,只要已知下落高度起步網校,我們便能迅速算出物體的落地速度 。


此時此刻,咱們回轉到那道真題之上,來瞧一瞧怎樣借助這些公式予以解析。依據速度時間關聯公式 v = gt,通過簡易的變形,便能得出下落時間 t 的表達式,也就是:t = v/g 。如此一來初中物理公式 填空,我們便順遂地求出了物體的下落時間。
然而,于實際解題進程內部時,不少同學會犯下一個常見的差錯,他們會嘗試運用高度時間之間的關系公式h等于二分之一gt平方去求出時間t,可是應該留意的是,題目里頭并沒有給出物體往下掉落的高度h的具體數值情況,如此一來使用這個公式便是沒辦法得出結果的,這就對我們起到了提醒,在解答題目之際務必要認真仔細地審查題目,依照題目所給出的條件去挑選適宜的公式。
為助力更優地記憶以及運用這三個公式,我們歸納了一個秒殺訣:說成“自由落體三公式”,速度、時間以及高度會變化,落到地面的速度由高度決定哦,上升的高度取決于初始速度呢。這個訣簡潔又清晰,包含了自由落體運動里速度、時間與高度間的變化關聯喲。只要記住這訣,碰到自由落體相關題目時,就能快速聯想到相應公式,進而快速做出解答啦。
