學物理時常常聽聞有模型,究竟是何種模型呢,模型這個概念究竟有多重要呀,又該如何去利用模型呢?能夠這么講,你當下所接觸到的全部物理知識,皆是構建于模型的基礎之上的。故而,研究物理學,建立模型乃是一項基礎。那什么才是建立模型呢?就是在應對某個實際問題之時,把目標的變化借助數學關系描繪出來,這便是建立模型了。在這個過程當中貝語網校,存在著三個核心問題,分別是目標,變化以及關系。本系列專題我們會從模型的角度來對高考物理的解題方法予以總結 。

因疫情嚴峻,身為一名教師高中物理電場力題100道,雖沒辦法奔赴一線,然而也甘愿竭盡自身那微薄的力量。各地的大中小幼院校,都延遲開學,自今日起,本人專欄以雖無法改成0元但定價0.01的方式,免費提供給諸位學子,一直到疫情結束!并且愿意為大家給予免費答疑,通過私信就行,有問必定回復!各位學子加油!武漢加油!
模型15:電場中的類平拋
模型的三個核心:
目標:解決平行極板間帶電粒子的偏轉問題
變化:不同粒子(比荷不同)、速度不同、極板電壓不同
關系:運動規律一致,類平拋運動
高中物理電場里的類平拋運動,是高考每年必定考查的考試重點,是每年必考的知識點,而且極有可能在高考物理的計算題里出現。我們在處理電場里類平拋運動這類題型時,基本的解題思路就是“分解”。類平拋運動除了加速度跟平拋運動不一樣之外,在解題辦法、遵循規律以及相關結論這些方面,都和做平拋運動時完全一樣。
其一,運動情形:倘若帶電粒子憑借初速度 v0 垂直于電場強度方向而進入到勻強電場當中,其二,那么帶電粒子于電場里會進行類平拋運動,其三,就如同圖中所呈現的那樣。

步驟二,處理方式為,把粒子的運動予以分割,分割成順著初速度方向的勻速直線運動,以及順著電場力方向的勻加速直線運動。依據運動的合成以及分解的知識,去解決相關問題。
3.基本關系式:


4.帶電粒子在勻強電場中偏轉時的兩個結論
(1)帶電粒子從靜止起始,經過同一個電場加速,之后再從同一個偏轉電場射出,此時偏移量相同,偏轉角亦總是相同的。

粒子經過電場發生偏轉之后,其合速度的反向延長線跟初速度延長線相交的那個點O,它是粒子水平位移的中點,確切來講,就是O這個點到偏轉電場邊緣的距離是t除以2 。
5.帶電粒子在勻強電場中偏轉的功能關系
6.計算粒子打到屏上的位置離屏中心的距離的方法
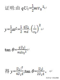
把y0加上,讓L乘以tan θ,得出的結果就是y,這里面的L指的是屏到偏轉電場的水平距離,就是這樣 。
(2)y=(l/2+L)tan θ(l為電場寬度);
(3)y=y0+vy(豎直方向分速度)*L/v0·;
(4)根據三角形相似y/y0=(l/2+L)/(l/2)
7.幾個易錯點梳理
在公式W=Uq里,其中表述的U所指向的是,那些處于軌跡之中的,開始位置以及最終位置的電勢差,它并非一定就是極板上面的電壓,。

(2)分清速度與位移的方向(速偏角與位偏角);
(3)注意可能存在偏轉的雙向性(上偏、下偏);
(4)控制變量法:比荷相同、初速度相同、偏移量相同等;
(5)重力的處理:不考慮、要考慮、看情況。
像上面所說的,這些便是電場里類平拋問題的解決辦法了,各位同學要去掌握那個核心的解決辦法,也就是分解,還有相關結論的推導進程。緊接著,為各位學子精心挑選了例題,以及與之相關的變式訓練,這些保存之后能夠打印,并且配有詳盡的解析過程。期望同學們認真去練習,要是存在疑問,歡迎私信過來。






這個模型呀,屬于《高中物理模型方法解析》當中的第15個模型呢,而在此之前的那些模型總結喲高中物理電場力題100道,大家能夠去點擊查看呀。
感謝閱讀,更多高中物理干貨持續更新,歡迎點擊關注。
