鄧老師留下這樣的話,平拋運作是力學和能量綜合呈現的極為重要的載體,要是掌握了它的核心邏輯就能破解30%的力學壓軸題目。這篇文章綜合了個人的教學經驗,借助思維導圖,搭建起知識體系,還獨創了“三維解析法”,直接指向2026年新的考向。
鄧老師總結的思維導圖:

一、 核心知識點總結
其定義為,把物體以特定的初速度向著水平的方向拋出,僅僅是在受到的那種重力進行作用的狀態下,從而展開的一種呈現為曲線形態的運動。
2.運動性質:

3.平拋運動7大必考結論速記表


二、核心二級結論速查(附證明)



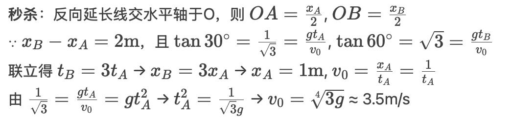
平拋運動軌跡之上,存在A、 B兩點制度大全,A點速度方向所成角度為30°,B點速度方向所成角度為60°,A、B兩點之間的水平距離是2m,據此求平拋運動的初速度V0 。

三、斜面平拋模型全突破



問題:以多大V0平拋可垂直擊中斜面?

四、創新題型:電場中的類平拋

五、高頻易錯點的警示記錄,一)存在概念理解方面的錯誤,這種錯誤占比達到了45%,存在混淆位移角與速度角的情況,還存在誤用飛行時間公式的情況 。
t = √(2h/g)僅適用于落點與拋出點等高!

(二)計算失誤(占比38%)

應當把斜面的長度當作水平位移,正確的是高中物理電場四維導圖,x等于L乘以cosβ,y等于L乘以sinβ, 。
在斜面上平拋時,未沿斜面與垂直斜面分解
六、2026高考命題趨勢與壓軸題預測

七、鄧老師解題心得:
終極心法:
平拋運動的實質是運動的獨立性原理,這種思想會貫穿整個物理學,對于復雜問題都要先進行分解然后合成,要優先去求時間tt,它是連接水平與豎直方向的“鑰匙”,2025年高考大數據顯示,斜面平拋模型在各省試卷中的出現概率高達78% 。
謹記:善用二級結論如虎添翼高中物理電場四維導圖,但推導過程才是物理之本!

附:鄧老師總結平拋運動5類模型手工筆記!!!

