

身為并非浙江籍貫之人,我老早就聽聞浙江的首次考試,然而始終不是特別清楚,比如說本次浙江1月舉行的高考物理這種考試就稱作:首次考試。
今天,趁著1月的首考,考的是物理,特意去了解了一番,目的是能讓那些并非浙江的小伙伴能有所了解。
這是這次考試時間↓↓

又搜了下網上的一些說法,特復雜的沒放上來↓↓
簡單說:首考就是部分科目的高考 成績取高者為高考最后成績。
比較了解的小伙伴歡迎留言

來看題目:









下面是答案



(以上資料轉自:浙考物理)
最近我一直在研究探索
用再次測試
解答結果如下:






經過認真仔細地校對之后,卻發覺仍然做錯了好些題目。之后又發送給豆包去做,結果發現同樣做錯了不少題目。大家能夠找一找。
我前往網絡上去查找了一番,實際上問題的關鍵所在竟是,與豆包一塊兒,都沒辦法切實地識別圖片,(只不過能識別圖片里所包含的文字),然而我們面對的理科試卷幾乎每一道題目都配備有相對應的圖,進而致使出現差錯。
然而留學之路,我卻又充滿好奇,那不能夠準確識別圖片的情況下,究竟要怎樣去做題呢?甚至于還答對了數量不少的一道道題目,完全要單純憑借那些文字?
比如 第4題 第 8、9,幾道題,沒圖的話很難做出來。
我仔細看了下推理過程,一部分是題目中文字已經解釋了圖片。
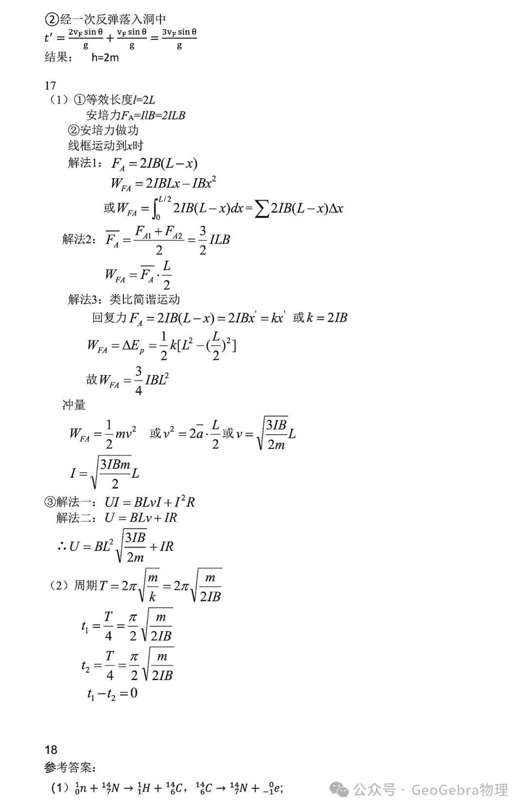
一部分是靠答案倒推!不斷否定,不斷假設。
還有一部分就是,列出所有可能,逐個分析,找到最近答案。
目前還不是令人很滿意。

但是,相信過不了幾個月,AI會再次迎來新的突破。
最近,我于空余時段,像安靜的夜晚那般,持續開展訓練操作,進行畫物理圖形、編寫代碼以及仿真模擬工作,其中,編寫代碼方面,若要求不太高浙江高中物理教材,那么完全沒有必要去學習代碼知識浙江高中物理教材,直接就讓它生成代碼,而后直接用于運行操作便可。
越來越好:第6期.中學物理論文精讀營:永久回放
周麗娟,開展了關于基于舊教材與新教材相互比較后的教學改進方面的研究,此研究以“楞次定律”這個內容的教學作為實例呈現,句號。
第14天:中學物理論相關論文進行精細閱讀:針對初中物理密度概念展開教學方案設計——這是立足于“整體、優化、創新”理念對課堂教學內容實施的重新構建 。
中學物理論文精讀營第9天——同時測試能否讀論文?

