1、初中物理當中,那些知識點呈現出相對獨立的狀態,具體涵蓋熱、力、聲、光、電這些方面,然而高中物理知識卻已然形成為體系,各個模塊之間存在著緊密的聯系,高考題目會綜合各模塊知識點來出題。
比如,在必修一的第一章,也就是運動的描述這部分內容里,有著新的物理概念,即加速度被引入了。
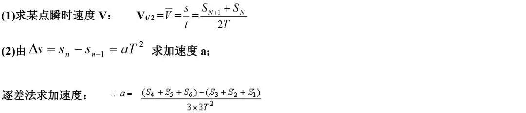
第二章:針對均變速直線開展的研究,涉及三個基本公式以及推導公式的運用初中物理是什么,。
第三章:相互作用(重、彈、摩擦三力的概念和合成分解),
第四章:牛頓運動定律(牛一、牛二定律的應用)。
全都是那種構成體系的,彼此聯系極為緊密的知識點,倘若一個章節的內容沒能學好,那么在后續就會徹徹底底地跟不上 。
初中學的物理,只是在介紹一些相對較為容易且單的知識事項,而高中學的物理,著重于關注更深層次方面的探究狀況。

倘若如同物體的那種運動情況物業經理人,在初中階段僅僅是介紹到速度以及平均速度這樣的概念,到了高中的時候,對于速度概念的描述更為深入,速度屬于矢量,速度一旦發生改變必然會有加速度,而且加速度還存在加速以及減速的不同類別。再比如說摩擦力,在高中階段光是其方向的判定都是一個具有難度的要點內容初中物理是什么,即“摩擦力始終是阻礙物體的相對運動或者相對運動趨勢”。首先得明確是相對于哪一個面而言,其次要運用運動學的相關知識去判斷相對運動或者相對運動趨勢的方向,之后才能夠找出力的方向,在一些問題里還得借助物體平衡的知識才可以得出相應結論。
3、初中物理重定性分析,高中物理重定量分析。
定量分析相較于定性分析而言更具難度,當然更為精確。就拿摩擦力來說,初中階段僅僅講述增大以及減小摩擦的方法,這比較易于理解。高中階段卻需要對摩擦力的大小展開分析以及計算,并且靜摩擦力的大小通常是要依據物體的狀態來予以確定的。
4、高中物理更注重一個人綜合能力。
初中物理的一道題,通常僅考察一個方向的知識點,然而到了高中,綜合知識點乃至跨學科的題型,變得越來越多,就像受力分析,若你沒有一定的幾何基礎,便無法準確求解,一些力學綜合題會考查數學、幾何、電磁場等知識,故而 在學習難度上也就更難了。
新高中知識點梳理








