藍字-
許多同學的心中,初中電學,可是個較大的困擾,具體就是遇上繁雜的電路圖時,完全沒辦法知曉串并聯的關系呢~于是乎,物理君便來為大伙“渡劫”咯!
今天,物理君會通過幾個例題,教大家簡化電路。
復雜電路圖簡化
今天,物理君的物理小課堂,要去跟大家講解這么個事兒,就是有些那種比較復雜的電路圖情況下初中物理簡化電路圖,應該怎樣去判斷串并聯關系呢 。
例如下面兩個例題:

答案:C

答案:BC

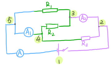
此兩個電路圖極為相像,三個電阻看去處于同一直線上,隨后又兼兩根帶有電流表的導線于其中興風作浪 。
身為初中生得知,那種電流表其中是不存在電阻的初中物理簡化電路圖,等同化為一根導線,所以實際上這樣的電路圖就等同于 ↓↓↓↓↓↓↓↓↓↓ 這樣的 。

在其包裹范圍以內,最為棘手難辦的問題在于,流經R2這一物體的電流,究竟是從左側朝著右側的方向流動,還是從右側朝著左側的方向流動呢?
我們取第二個例題來講解一下:
依照上節課物理君講過的內容,我們對節點標注上序號,其中電源正極被標記為1,接著依照順序朝著負極行進,越朝著負極靠近序號就越大。然而像圖中所呈現的那樣,R2兩端的點我們沒辦法確切判定哪一個更加靠近負極一些,所以暫且標記為a、b。

在從正極出發進行標注出現不明白的情況后,我們轉而從負極出發去查看,接著察覺到b點與5號端點之間是靠一根導線(電流表)相連接的,因此它等同于和5號點是處于相同狀況的,所以從數字角度來說b大于a 。
這樣一來,就變成了下面的樣子:

需要留意的是,a位置的點,也就是3號點,其電流情況是這樣的既存在向左流經R1的情況,又存在往右側流經R2的情況。

這一點弄明白之后,簡化電路圖就很容易啦!
首先畫出電源,接著自正極引出線來,隨后順著電流方向逐個將用電器串聯起來就成了 。

能瞧見電流表A所測量的乃是干路中的電流,A1測量的是R2與R3電流的總和,A2測量的是R1和R2電流的總和。而且三個電阻均處于并聯狀態。如此這般,這樣一道題是不是就顯得頗為簡單了呢~~~~。
在這當中,第二個題目相對來說會有那么一點兒麻煩,是需要同學們逐一點滴地去做分析的,要是進行R1與R2的互換,情況會是怎樣的呢,要是進行R2與R3換一下,又會是怎樣的呢,要是把R1和R3掉換一下制度大全,又會呈現出怎樣的狀況呢,這些都只要靜下心來去全面分析就可以了,只要能夠把簡化的電路圖畫出來,那么這些題目其實也算并非特別困難的~。
好啦~今天物理君的物理小課堂就到這里
下課~

知識點:
初中物理
